Amtstafel

Infoabend 21. Oktober Hochformat.png

INFOABEND

Emmicom Engeriegemeinschaft

Sperrmüll Entsorgung am FR, 17.10.2025

von 7:30 bis 13:30 entlang vom Bahnhof

Schulinfotag_Plakat_2025.pdf

Schulinfotag

LFS Unterleiten

Zivilschutz_Probealarm_DE_web_2025-1.jpg

Zivilschutzprobealarm

Am Samstag, 4. Oktober 2025 findet der alljährlic...

Frauengesundheit A3_250908_084054.pdf

Frauengesundheit

Gesund und erfüllt, Frauenleben im Gleichgewicht

KM_C450i25100214510.pdf

Bauarbeiten auf oder neben der Landesstraße B22

vorübergehende Verkehrsverbote und -beschränkung...

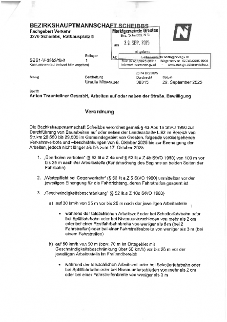
KM_C450i25092910430.pdf

Bauarbeiten auf oder neben der Landesstraße L92

vorübergehende Verkehrsverbote und -beschränkung...

Stellenausschreibung Reinigungskraft.jpg

Reinigungskraft gesucht! (Karenzvertretung)

Die Marktgemeinde Gresten sucht ab sofort eine Rei...

20250921_142406.jpg

Eröffnungsfeier - Historischer Rundweg

Feierliche Eröffnung des historischen Rundwegs in...

A4-Plakat-GWG_Gesucht-Weihnachtsgutscheine-2025.jpg

GWG Weihnachtsgutscheine - Limitierte Auflage!

Kreative Weihnachtsmotive für die GWG Gutscheine ...

Dahoam kaffa und gwinna

26. September bis 26. November 2025

HelferInnen für Österreich Tafel gesucht

Das Rote Kreuz im Bezirk Scheibbs sucht ehrenamtli...

Kleinwaldbesitzer aufgepasst!

Das Bundesforschungszentrum für Wald (BFW) hat se...

Rutschung Salcher

Seit Jahren betreibt Herr Univ. Prof. Dr. Thomas G...